Skip to main content

Edge Impulse Debuts Smallest, Most Precise HRV Algorithm, Alongside Other Health-Focused Tools

Innovators in the health space including Know Labs, Oura, Nowatch, Hyfe and SlateSafety use Edge Impulse’s platform to enhance human health with edge AI

Edge Impulse, a leading platform for building, refining and deploying machine learning models and algorithms to edge devices, has launched new capabilities for Heart Rate (HR) and Heart Rate Variability (HRV) data processing that outperform existing state-of-the-art algorithms and enable higher accuracy interpreting PPG and ECG sensor outputs.

This press release features multimedia. View the full release here: https://www.businesswire.com/news/home/20231009003618/en/

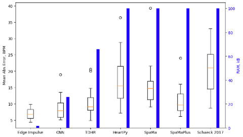
Edge Impulse's New HRV Algorithm Performance Benchmarks (Graphic: Business Wire)

Edge Impulse's New HRV Algorithm Performance Benchmarks (Graphic: Business Wire)

Heart rate and heart rate variability are important measurements for numerous health and medical endeavors. With the HR and HRV blocks, enterprises and developers can better tackle challenges involving activity and sleep tracking, fall detection, sleep monitoring, and atrial fibrillation.

“Our new algorithm generates clean HR and HRV values from a PPG sensor via our augmentation of standard processing techniques. Our enhancements mitigate significant noise typically associated with using data from wearables, such as on a finger, outperforming known algorithms in MAE, variance, and resource usage,” said Alex Elium, lead DSP engineer at Edge Impulse and lead developer on the HRV product. “This significantly reduces the R&D investment to build custom algorithms that would take years to refine for use in the field, whether for clinical trials or consumer wearable devices.”

The launch is part of Edge Impulse’s broader suite of edge AI tools for health-related use cases that can be deployed to any target with algorithms optimized for any hardware, from high power GPUs down to the smallest MCUs on wearables. On-device intelligence can transform health devices with real-time insights, enhanced privacy, and extended battery life. Features include:

  • Health Sensor Algorithms: Numerous health data types now have pre-built algorithms in Edge Impulse, including:
    • A new best-in-class set of HRV algorithms optimized for on-device performance to track accelerating activity, falls, sleep, stress and atrial fibrillation. The new toolkit uses the smallest footprint on the market with 16x less RAM, with the smallest state-of-art mean error compared to current industry standards.
    • ECG/PPG for monitoring heart health in real time
    • EEG to capture brainwave patterns for comprehensive neurological assessments
    • Motion to track movement and posture
    • Body temperature monitoring for health changes
  • Clinical Research Data Repository. A research data lake that can be useful to store, aggregate and validate all clinical trial data in one place, with the infrastructure to scale clinical studies to thousands of subjects.
  • Data Campaign Dashboards. A tool that provides real-time project monitoring capabilities and increases team efficiency for an accelerated project success.

Edge Impulse's platform is also designed to operate in compliance with recent FDA regulations around AI use for medical devices, making it a go-to choice for numerous innovators in the healthcare and wellness space.

Health companies using Edge Impulse’s medical-grade tools for edge AI include:

  • Know Labs - An emerging developer of non-invasive medical diagnostics technology bringing the first FDA-approved, non-invasive blood glucose monitoring solution to market.
  • Oura - The makers of popular health-tracking device Oura Ring use Edge Impulse’s platform to build and train data models more quickly and at a higher accuracy for medical research and development.
  • Nowatch - The wearables company works with Edge Impulse to use AI to monitor mental well-being. The company’s device uses a novel combination of sensors to measure cortisol, which then can be used to measure stress levels in human beings.
  • Hyfe - Hyfe leverages Edge Impulse's platform to deploy its AI model for cough detection to the edge, facilitating real-time and efficient monitoring of respiratory health.
  • SlateSafety - Originally designed for firefighters, the company’s BAND V2 wearable tracks signs of stress for people working in dangerous or otherwise extreme conditions. Edge Impulse helps SlateSafety aggregate and process sensor data on-device, protecting workers wherever they’re needed regardless of connectivity or signal strength.

To learn more about Edge Impulse’s health capabilities and get started, visit edgeimpulse.com.

About Edge Impulse

Edge Impulse offers the latest in machine learning tooling, enabling all enterprises to build smarter edge products. Their technology empowers developers to bring more AI products to market faster, and helps enterprise teams rapidly develop industry-specific solutions in weeks instead of years. Edge Impulse provides powerful automations and low-code capabilities to make it easier to build valuable datasets and develop advanced AI for edge devices. Used by makers of health-wearable devices like Oura, Know Labs, and NOWATCH, industrial organizations like NASA, as well as top silicon vendors and over 80,000 developers, Edge Impulse has become the trusted platform for enterprises and developers alike. It provides a seamless integration experience to optimize and deploy with confidence across the largest hardware ecosystem. To learn more, visit edgeimpulse.com.

Contacts

Recent Quotes

View More
Symbol Price Change (%)
AMZN  206.96
-1.76 (-0.84%)
AAPL  273.68
-0.94 (-0.34%)
AMD  213.57
-2.43 (-1.13%)
BAC  55.39
-1.02 (-1.81%)
GOOG  318.63
-5.77 (-1.78%)
META  670.72
-6.50 (-0.96%)
MSFT  413.27
-0.33 (-0.08%)
NVDA  188.54
-1.50 (-0.79%)
ORCL  159.89
+3.30 (2.11%)
TSLA  425.21
+7.89 (1.89%)
Stock Quote API & Stock News API supplied by www.cloudquote.io
Quotes delayed at least 20 minutes.
By accessing this page, you agree to the Privacy Policy and Terms Of Service.